Cardiovascular disease remains the leading cause of death worldwide, with more than half of all deaths each year being attributed to cardiovascular disease (1).
Many factors contribute to cardiovascular disease, such as obesity, diabetes, high cholesterol, etc. (2). Elevated blood pressure, known as hypertension, is one of the most critical risk factors and is one that is modifiable through either lifestyle changes such as diet and exercise or medication (3).
While exercise is indeed beneficial for lowering blood pressure, dietary changes can produce even more significant reductions in blood pressure.
Read further and learn how you can apply these nutritional principles to your nutrition coaching practice.
What is the DASH Diet?
The DASH diet, or the Dietary Approaches to Stop Hypertension (DASH) diet, was developed in the early 1990s by the National Institutes of Health and was designed primarily to help address hypertension.
The diet promotes the consumption of vegetables and fruits, lean meat and dairy products, sodium restriction to (≤1500 mg/day), and the inclusion of micronutrients in the menu (4). More specifically, the diet prescribes the following guidelines:
● Vegetables: about five servings per day
● Fruits: about five meals per day
● Carbohydrates: about seven servings per day
● Low-fat dairy products: about two servings per day
● Lean meat products: about two or fewer servings per day
● Nuts and seeds: 2 to 3 times per week
There are also guidelines around what foods from each of the major macronutrient groups one can consume. For example, proteins should come from legumes, nuts, seeds, soy, eggs, fish, low-fat dairy, and some types of lean meats. Fats should come from olive oils, avocados, nuts, seeds, and fish. Carbohydrates should come primarily from green leafy vegetables, legumes, beans, fruits, and whole grains.
Ultimately, the DASH diet is an extremely heart-healthy diet.
What Does Science Tell Us?
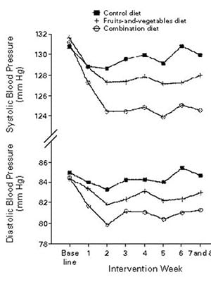
The original study done on the DASH diet was published in the New England Journal of Medicine in 1997 by a scientist named Lawrence J Appel (5). This study was conducted in people with established hypertension and aimed to study the dietary pattern's effect in general on blood pressure.
The participants followed the diet for just three weeks (21 days), and blood pressure changes were monitored. After the three weeks, the participants on the DASH diet who increased their fruit and vegetable intake and lowered the saturated fat intake saw reductions in systolic blood pressure of ~11 mm Hg and reductions in diastolic blood pressure of ~5 mm Hg.
This makes dietary modifications just about as effective as antihypertensive medication (6).

A follow up trial conducted a few years later in 2001, examined the effect of the DASH dietary pattern along with sodium restriction (7). This study found that, like the previous one, the DASH dietary pattern lowered blood pressure among people with hypertension to a similar degree as the previous study.
However, they also found that reducing sodium intake to below 1150 mg per day, primarily through salt reduction, provided an additional decrease in systolic blood pressure of around 3-7 mm Hg.

These studies were the foundational pieces of evidence that have led to many of the current guidelines and recommendations for reducing the risk of heart disease through dietary modification.
How diets can lower blood pressure
There are two main ways that diets can lower blood pressure. The first is through caloric restriction that leads to weight loss. The second is changing the diet composition so that the nutrient profile can directly lower blood pressure.
In the 1990s, cardiovascular research began to focus quite intensely on the role of diet in heart disease, and several different diets were developed to test. One of the diets was explicitly designed to address elevated blood pressure (hypertension).
Should You Follow the Dash Diet?
The DASH diet is not the only diet that has ever been shown to lower blood pressure or reduce the overall risk of cardiovascular disease. Low-carb diets, Paleo diets, vegan diets, and many other diets are also useful.
The DASH diet is one framework that adopts core principles that can reduce the risk of cardiovascular disease. The major take-home points from the DASH diet and the studies surrounding it are the following:
1) Consume a well-balanced diet that is rich in fruits and vegetables.
2) Be mindful of sodium intake across your lifespan.
3) Aim to get more olive oils, fish, nuts, and seeds. (Similar to the Mediterranean Diet
4) Dairy and whole grain carbohydrates can be included in your diet.

References
- The Top 10 Causes of Death
- Prevalence of Major Cardiovascular Risk Factors and Cardiovascular Diseases Among Hispanic/Latino Individuals of Diverse Backgrounds in the United States.
- High Blood Pressure and All-Cause and Cardiovascular Disease Mortalities in Community-Dwelling Older Adults
- DASH Diet (Dietary Approaches to Stop Hypertension)
- A Clinical Trial of the Effects of Dietary Patterns on Blood Pressure
- Blood Pressure Lowering Efficacy of Angiotensin Converting Enzyme Inhibitors for Primary Hypertension
- Effects on Blood Pressure of Reduced Sodium and the Dietary Approaches to Stop Hypertension (DASH) Diet. DASH-Sodium Collaborative Research Group


